研究成果
理論生態學研究室發表
更新日期:2026-03-27 發佈人: 瀏覽人數:9

從禁忌到潮流:姓氏與現代配偶選擇

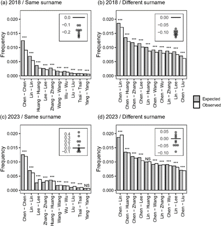
親屬辨識在多種生物類群中,包括細菌、植物及動物的交配過程中,扮演了避免近親繁殖的重要角色。歷史上,人類的姓氏曾是親屬關係的指標,許多國家過去都制定法律和社會規範以禁止同姓之間的婚姻。在此背景下,考慮到姓氏不匹配可能在避免近親繁殖中具有適應性功能,我們探討在現代人類社會中,當同姓婚姻不再被禁止時,姓氏是否仍會影響配偶選擇,並利用臺灣的全國姓名資料庫進行分析。2018年的資料顯示,同姓婚姻的發生頻率低於預期,反映出歷史上對此類婚姻的禁忌。然而,2023年的資料中並未觀察到此模式,暗示人們的態度可能隨時間有所轉變。為進一步詮釋這一趨勢,我們對大學生進行了一項簡單問卷調查,結果顯示,與傳統習俗相反,姓氏相同與異性面孔吸引力評分之間沒有顯著相關。我們的結果雖屬初步,但提出了這樣的假說:配偶選擇中姓氏匹配/不匹配的重要性可能已降低,這可能與快速變化的社會文化環境有關。針對姓氏角色的變化進行更深入的研究,有助於在現代化與全球化背景下,更全面理解人類在不同區域與情境中的社會行為。

Reference

Nakazawa T* (仲澤剛史), Shinohara N (篠原直登、京都大學/OIST), Fukano Y (深野祐也、千葉大學) (2026) Surname match/mismatch revisited: it may no longer matter for partner choice. PLoS ONE 21: e0343333.

https://doi.org/10.1371/journal.pone.0343333